- 2人~5人
- 30分~45分
- 8歳~
- 2016年~
カルカソンヌJりょう@つくばのボドゲショップ店長さんの戦略やコツ
相手のミープルを手元に戻せなくする
カルカソンヌの戦略の1つに「他プレイヤーの邪魔をする」という手法がありますが、もしミープルを手元に戻すのを意図的に妨害できたら強力な武器になるのではないでしょうか。
カルカソンヌJのタイルの1辺は「道路」か「都市」か「草原」の3つの地形のいずれかに繋がります。1枚のタイルは4辺あり、各辺は3つの地形のいずれかと繋がります。このとき、地形の組み合わせは24通りあります。
※「24」という数字は計算で求めることもできます。詳しくはこの記事の一番下で。
その24通りと各組み合わせに対応するタイルの枚数の一覧表が下の通りになります。
なお、「み=道路、そ=草原、と=都市」とします。
一覧表で示した通り、対応するタイルの枚数が0枚である地形の組み合わせが7種類あります(黄色背景)。
これを利用することで、相手のミープルを手元に戻せなくすることができます。
例えば場が次のような状態であったとします。次は黄色ミープルプレイヤーが黒矢印のタイルを置く番です
実はこのタイルをある場所に置くことで、片方の赤色ミープルを手元に戻せなくすることができます。
こんな感じ。
ぽっかり空いたスペースには置けるタイルがありません。ということはゲーム終了まで右側の赤いミープルは手元に戻ることがなく、相手プレイヤーはミープルが1つ減った状態でプレイをしなければいけなくなります。
このように、タイルの置き方次第では、相手のミープルを実質減らすことも可能になります。
この戦略は例の7種類の組み合わせ以外の組み合わせでも可能です。ゲームが進むごとに他の組み合わせでもタイルがなくなってくるので、うまくタイルを配置することで、ミープルを回収できなくすることや回収しにくくすることができます。
この戦略を実際に使うとしたら24種類の組み合わせに対応するタイルの枚数を把握している必要があります。"頑張れば"使える戦略、という感じですかね。
対応するタイルがない7種類の組み合わせは簡単に覚えられるので、それだけ覚えておくだけでも使える場面が出てくるかもしれませんね。
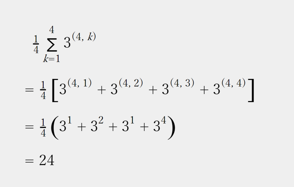
1枚のタイルは4辺あり、各辺は3つの地形のいずれかと繋がります。このときの地形の組み合わせの総数を求めるには重複円順列を使います。重複円順列の公式*は次のようになります。
3種類(地形の数)の中から重複を許して4個(タイルの辺の数)を選び円形に並べる(各辺に配置する)ので、次のように計算できます。
このように計算して求めることも可能です。
もしなにか間違っていたら@tkbd_funまで。
*重複円順列の公式は、チャート式の数研出版の数研通信68号の「特集 重複円順列・重複数珠順列について 」を参考にしました。
- 345興味あり
- 2222経験あり
- 662お気に入り
- 1900持ってる
りょう@つくばのボドゲショップ店長さんの投稿
会員の新しい投稿
レビューイト レインボーショート動画でわかりやすく紹介をしています約6時間前by YouTuberスバル
レビューDr.STONE ボードゲーム 千空と文明の灯ショート動画でわかりやすく紹介をしています約6時間前by YouTuberスバル
レビューたった今考えたプロポーズの言葉を君に捧ぐよ。 ─空気クリア─ショート動画でわかりやすく紹介をしています約6時間前by YouTuberスバル
レビューたった今考えたプロポーズの言葉を君に捧ぐよ。 ─ウェイウェイゴールド─ショート動画でわかりやすく紹介をしています約6時間前by YouTuberスバル
レビューたった今考えたプロポーズの言葉を君に捧ぐよ。 :ラバーズピンクショート動画でわかりやすく紹介をしています約6時間前by YouTuberスバル
レビューたった今考えたプロポーズの言葉を君に捧ぐよ。 ─ストーカーブラック─ショート動画でわかりやすく紹介をしています約6時間前by YouTuberスバル
レビューたった今考えたプロポーズの言葉を君に捧ぐよ。ショート動画でわかりやすく紹介をしています約6時間前by YouTuberスバル
レビューひらがじゃん 牌ばーじょん私が2025年1番ハマったボードゲームのひらがじゃん牌バージョンを紹介約6時間前by YouTuberスバル
レビューインク:色彩の画工BGAで数回プレイ。ノヴァルナやフレームワークとゲーム性はよく似ている...約7時間前by oliber
レビューバーニングバナーハイファンタジー世界を舞台にしたマルチプレイ対応のウォーゲーム『BUR...約9時間前by yuishi
レビュージンクス【ざっくりレビュー】ダイスの目でカードを取る。セットコレクションのタグ...約12時間前by Juin-Zuo Lin
レビューぶらり、ブラーノ島【ざっくりレビュー】オープンドラフトのセットコレクションゲーム。ぶらり...約12時間前by Juin-Zuo Lin

/post_image_c941b313-b8a1-4a52-809d-4aad6889fcf0.png)
/post_image_8c1cc7d3-e72d-4650-a86b-b2bd825e2fe3.jpg)
/post_image_8bce239d-f89d-4e25-9fc5-90abf8faa528.jpg)
/post_image_67de4655-fc57-4fc3-abdf-9801de58d488.png)
/post_image_61c5293b-4f88-45db-839d-e166b2da7c3e.png)
/picture_e37dd2ac-9a71-4210-812f-5c606f54fe73.jpg)
/picture_bec812e7-7249-4d6c-ad0c-0ca8338334aa.jpg)
/picture_fa579e32-3018-432b-b8e7-8df4ad0a06b6.jpg)
/advertise/banner-20251020.png)



/picture_8143a88c-f14f-4d8a-b271-8411bdc468c2.webp)
/picture_463c76fd-2d1d-45e4-8bdd-64c0650fbbe1.png)
/picture_c2c36e1e-291a-43e3-ba22-a46dcde18050.jpg)
/picture_63ec4220-9054-4b29-9c69-7d9470fbe580.png)
/picture_259928d8-c410-4ca1-81c4-af68585a3280.webp)
/picture_2b45a071-a14a-4e1b-b8dd-34ae0f620bf1.webp)
/picture_183c4594-a07e-4b55-bf92-30195a21d579.webp)
/picture_a1a3ea17-2110-4a17-96b3-712374e96c38.jpeg)
/picture_fb42fa53-6201-4741-a2ff-a708260beebf.jpg)
/picture_c99609d1-9f08-4e0c-9cdc-6cec2d978892.webp)
/picture_78fc9fb1-1179-4f4b-ba04-9e963b75deb0.jpeg)
/picture_0b664618-c9ba-42e2-a27f-eead41918a7c.jpg)
/picture_288328d1-7104-426e-b2c6-7ff4f03f3be4.webp)
/picture_e767b2e8-ca1c-4402-9b3c-f60a2d3b7579.png)
/picture_dc0de9b5-9aa7-4553-ad5a-8f6e345036d5.jpg)
/picture_9ae5f083-e3aa-4fe3-8efb-bcb75965c56e.jpg)
/picture_24d6fb9d-f3ea-4f30-a276-3afb0aaeaf45.jpg)
/picture_436c281c-4190-4778-a217-464431b94bb1.webp)
/picture_3d36e89c-da18-4cab-a77f-8291e7bf3849.jpg)
/picture_e59b0ad8-05a8-4438-891f-e975fb845342.webp)
/picture_c56edf2c-3f61-478b-8e85-24fc268e2c84.jpg)
/picture_d2713af1-45bb-4f3f-bfcb-3a40d059c061.jpg)
/picture_54e881df-ed6a-4865-8f08-290676842639.jpg)
/picture_223cfea0-36a5-4041-912f-1bf086330158.jpg)
/picture_3a2dc9ac-11d9-4ace-9556-6eb1bf6f180b.jpg)
/picture_aa1601fa-59ef-497c-8510-6ae7e1d530fc.jpg)
/picture_f1858e77-7867-4d37-9b90-67cb9548d22e.jpg)
/picture_868b38ad-f427-40a0-b4d1-645c78fc204b.jpg)
/picture_836d5f4d-8cbd-4c6c-b59f-45d43654e0da.jpg)
/picture_cf725a25-82dd-4dae-bd2f-68755461b0a5.jpg)
/agricola-2.jpg)
/7-wonders3.jpg)
/picture_d0be69e8-d04a-4188-93e5-39df5f0aed0c.webp)
/picture_b93fa26f-9736-4f9d-8510-2b6c2112b25a.jpg)
/picture_a6985d90-91e0-4a82-a9a7-e615333f0fe4.jpg)
/picture_7be7a256-aeb9-4a2c-b817-f84e0bc58572.jpg)
/picture_b436d9db-a195-4329-aff7-7ade217acfc0.jpg)
